The Hazen-Williams equation is empirical and has long been used to calculate the friction loss in pipework for water-based fire sprinkler protection systems.
This equation uses the coefficient C to specify the roughness of the pipe, which is not based on a function of the Reynolds number, as in other pressure loss equations. However, this has the disadvantage that the equation can only be used when water is flowing within the 'turbulent' flow range. Suppose the system is outside the usual pressure and flow range and will have additives such as foam or anti-freeze or unusual temperature conditions. In that case, the Darcy Weisbach equation may be more appropriate.
Gardner Williams and Allen Hazen first started their Experimentation in the early part of the 20th century. They began to record the friction loss through a pipe in numerous experimentations in their studies resulting in the development of an empirical formula we know today as the Hazen- Williams formula. The formula and a series of friction loss tables computed from the formula were published in 1903.
The Hazen-Williams formula has the advantage of being simple to calculate using a scientific calculator. In contrast, the Darcy Weisbach equation requires using the 'f' friction factor, which can only be calculated with several iterations as 'f' is on both sides. You can use a Moody diagram to find the value of 'f'; however, this is time-consuming and almost certainly not the most inaccurate method.
The Hazen William formula has now become adopted worldwide as the pressure loss formula for the hydraulic design of fire sprinkler systems. Using the Hazen-William formula will provide adequate answers in almost all cases. Care should be taken when using the Hazen-Williams equation so it is not used outside its scope. Otherwise, you may have inaccurate calculations. To avoid this, you should limit the velocity - Water Velocity and limits for different design authorities.
The Hazen William formula can also be used for the calculation of water mist systems where the system pressure does not exceed 12 bar (low-pressure water mist systems) or the water velocity does not exceed 7.6 m/s, and the minimum pipe size is 20mm in the case of intermediate and high-pressure water mist systems.
You can use Canute Hcalc hydraulic calculator or our online Hazen Williams calculator to visually explore the relationship between the flow, pipe diameter and the pipe C-Factor in the Hazen Williams formula, which will give you a good understanding of the formula our Hcalc software is free for you to download and use.
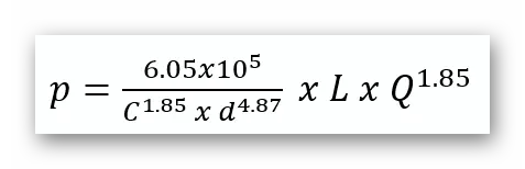
Hazen Williams equation:

When:
p = pressure loss in bar per meter
Q = flow through the pipe in L/min
C = friction loss coefficient
d = internal diameter of the pipe in mm
L = Lenght of pipe in m
You can see in the above equation that if Q is raised to the power of 1.85 in the above equation, this has the effect if the flow is doubled and all other factors remain constant, the friction loss would increase by almost four times. If the flow were to triple, the friction loss would almost be nine times greater. You can also see that the pipe diameter D is raised to the power of 4.87 and is in the denominator on the right-hand side of the equation. Therefore any increase in the pipe size will reduce the friction loss if all other factors remain the same. If the diameters double, the friction loss will be reduced by almost a factor of 1/32 likewise, if the pipe diameter is tripled, The friction loss would be reduced to about 1/243 of its original value.
The Hayes-Williams formula, which is empirical, yields only approximate results however it is considered to be accurate enough to be used for the calculation of fire sprinkler systems, and indeed, the formula is stipulated in all fire sprinkler design standards throughout the world, including NFPA 13, EN 12845, EN 16925 and BS 9251. There are certain cases, such as high-pressure water mist, where the use of the Darcy-Weisbach equation would be more appropriate, and this is set out in NFPA 750.
Value of C for use in the Hazen-Williams formula
Listed in the table below are typical values for coefficient C, which can be used in the Hazen-Williams formula for different fire sprinkler design standards. The value of C represents the roughness of the pipe, with higher values of C giving lower friction losses. The values given in the design standards allow for the degradation of the pipe. For instance, a new cast iron pipe has a C coefficient of 130 and EN 12845 gives the value of 100, equivalent to a pipe about 20 years old.
