Bernoulli's Theorem is a fundamental principle in fluid dynamics that describes the relationship between the pressure and velocity of a fluid.
Swiss mathematician Daniel Bernoulli (b1700-d1782) first introduced it in the 18th century, and it has since become a cornerstone of modern physics and engineering. In this article, we'll explore the origins and use of Bernoulli's Theorem.
The Origins of Bernoulli's Theorem.
Bernoulli's Theorem was first introduced by Swiss mathematician Daniel Bernoulli in his book "Hydrodynamica" in 1738. At the time, Bernoulli was studying the flow of fluids through pipes and channels, and he observed that as the speed of a fluid increases, its pressure decreases. This relationship became known as Bernoulli's Principle or Bernoulli's Theorem and has since been applied to a wide range of fields, including aviation, engineering, and meteorology.
Bernoullis' Theorem (called Bernoulli's principle) is described as the "law of water energy conservation". It is one of the most fundamental and far-reaching statements concerning fluid mechanics, and it applies Newton's law of energy conservation to the flow of water.
Bernoulli's principle and use in fire protection
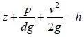
Bernoulli's principle states that in the flow of fluid (a liquid or gas), an increase in velocity occurs simultaneously with a decrease in pressure. That statement simplifies Bernoulli's equation (below), which plots the situation at any point on a fluid flow stream and applies the energy conservation law to flow. Put another way, the total energy of the flow at any point along a horizontal pipe is equal to the sum of the pressure head, the velocity head and the elevation in the absence of friction. This principle is of considerable importance to those concerned with the flow in sprinkler pipework.

z = Potential head or elevation
p = Pressure
v = Velocity
g = Acceleration of gravity
d = Density of fluid
h = Total head
If friction losses are ignored, and no energy is added or removed from the pipe, the total head (h), in the above equation, will be constant for any point in the fluid. However, energy will increase and decrease with pumps and friction loss, which must be included in Bernoulli's equation. Therefore, all practical pressure loss formulas (Hazen-Williams pressure loss equation) equation for the flow of fluids is derived from Bernoulli's Theorem with modifications to account for losses due to friction.
Where else will we find it in Fire Protection?
The other device we use in fire sprinkler & water mist systems is a flow measuring device, often based on the 'Pitot Tube' invented by Henri Pitot and measures velocity pressure. The principle is based on the Bernoulli Equation.